|
|
|
De ozonlaag is een gebied in de stratosfeer van de aarde dat het grootste deel van
de ultraviolette straling van de zon absorbeert. Het bevat een hoge concentratie ozon (O3) in vergelijking met andere delen van de atmosfeer, hoewel nog steeds klein in vergelijking met andere gassen in de stratosfeer. |
|
| De ozonlaag bevat minder dan
10 delen per miljoen ozon, terwijl de gemiddelde ozonconcentratie in de atmosfeer van de aarde als geheel ongeveer 0,3 delen per miljoen bedraagt. De ozonlaag wordt voornamelijk aangetroffen in het onderste deel van de stratosfeer, van ongeveer
15 tot 35 kilometer boven de aarde, hoewel de dikte ervan per seizoen en
geografisch varieert. |
|
De ozonlaag werd in 1913 ontdekt door de Franse natuurkundigen Charles Fabry en Henri Buisson. Uit metingen van de zon is gebleken dat de straling die vanaf het oppervlak wordt uitgezonden en de grond op aarde bereikt, gewoonlijk consistent is met het spectrum van een zwart lichaam met een temperatuur tussen 5.500 en 6.000 K. Er was geen straling onder een golflengte van ongeveer 310 nm aan het ultraviolette uiteinde van het spectrum.
|
| |
| Er werd afgeleid dat de ontbrekende straling werd geabsorbeerd door iets in de atmosfeer. Uiteindelijk werd het spectrum van de ontbrekende straling gekoppeld aan slechts één bekende chemische stof: ozon. |
|
|
 |
De ozonlaag is vanuit de ruimte aan de horizon van de aarde zichtbaar als een blauwe nagloeiende band op de bodem van de grote, helderblauwe band die de stratosfeer vormt, met een silhouet van een cumulonimbus in de
oranje nagloed van de troposfeer. |
|
| |
De eigenschappen ervan werden in detail onderzocht door de Britse meteoroloog GMB Dobson, die een eenvoudige spectrofotometer ontwikkelde (de Dobsonmeter) die kon worden gebruikt om ozon in de stratosfeer vanaf de grond te meten.
Tussen 1928 en 1958 zette Dobson een
wereldwijd netwerk van ozonmeetstations op, dat tot op de dag van vandaag nog steeds actief is. De Dobson-eenheid, een handige maatstaf voor de hoeveelheid ozon boven het hoofd, is naar hem vernoemd. |
| |
De ozonlaag absorbeert 97 tot 99 procent van het middenfrequente ultraviolette licht van de zon (van ongeveer 200 nm tot 315 nm golflengte),
wat anders mogelijk blootgestelde levensvormen nabij het oppervlak zou beschadigen. |
| |
| In 1985 bleek uit atmosferisch onderzoek dat de ozonlaag aan het afnemen was door chemicaliën die door de industrie vrijkwamen, voornamelijk chloorfluorkoolwaterstoffen (CFK's). Bezorgdheid dat verhoogde UV-straling als gevolg van de aantasting van de ozonlaag het leven op aarde bedreigde, waaronder een toename van huidkanker bij mensen en andere ecologische problemen, leidde tot een verbod op de chemicaliën, en het laatste bewijs is dat de aantasting van de ozonlaag is vertraagd of gestopt. De Algemene Vergadering van de Verenigde Naties heeft 16 september uitgeroepen tot Internationale Dag voor het Behoud van de Ozonlaag. |
| |
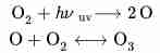
De fotochemische mechanismen die aanleiding geven tot de ozonlaag werden
in 1930 ontdekt door de Britse natuurkundige Sydney Chapman. Ozon in de stratosfeer van de aarde wordt gecreëerd doordat ultraviolet licht inslaat op gewone zuurstofmoleculen die twee zuurstofatomen (O2) bevatten, waardoor deze in individuele zuurstofatomen worden gesplitst ( atomaire zuurstof); de atomaire zuurstof combineert vervolgens met ongebroken O2 om ozon, O3,
te creëren. Het ozonmolecuul is onstabiel (hoewel het in de stratosfeer een lange levensduur heeft) en wanneer ultraviolet licht ozon raakt, splitst het zich in een molecuul O2 en een individueel zuurstofatoom, een voortdurend proces dat de ozon-zuurstofcyclus wordt genoemd. Chemisch gezien kan dit worden omschreven als: |
| |
 |
| |
| Ongeveer 90 procent van de ozon in de atmosfeer bevindt zich in de stratosfeer. De ozonconcentraties zijn het grootst tussen ongeveer 20 en 40 kilometer, waar ze variëren van ongeveer 2 tot 8 delen per miljoen. Als al het ozon zou worden samengedrukt tot de druk van de lucht op zeeniveau, zou het slechts 3 millimeter dik zijn. |
|
|
 |
| Ozon-zuurstofcyclus in de ozonlaag |
|
| |
| Ultraviolet licht |
| |
| Hoewel de concentratie van ozon in de ozonlaag erg klein is, is het van levensbelang omdat het biologisch schadelijke ultraviolette (UV) straling van de zon absorbeert. Extreem korte of vacuüm-UV (10–100 nm) wordt afgeschermd door stikstof. UV-straling die stikstof kan binnendringen, wordt op basis van de golflengte in drie categorieën verdeeld; deze worden UV-A (400–315 nm), UV-B (315–280 nm) en UV-C (280–100 nm) genoemd |
| |
 |
| Afbeelding-1 |
|
|
 |
| Afbeelding-2 |
|
| |
1: UV-B-energieniveaus op verschillende hoogtes. Blauwe lijn toont DNA-gevoeligheid. De rode lijn toont het energieniveau aan het oppervlak
met een afname van de ozonconcentratie van 10 procent |
2: Ozonniveaus op verschillende hoogten en blokkering van verschillende banden van ultraviolette straling. In wezen wordt alle UV-C (100–280 nm)
geblokkeerd door zuurstof (van 100–200 nm) of anders door ozon (200–280 nm) in de atmosfeer. Het kortere gedeelte van de UV-C-band
en het meer energetische UV boven deze band veroorzaken de vorming van de ozonlaag, wanneer afzonderlijke zuurstofatomen geproduceerd
door UV-fotosynthese van dizuurstof (onder 240 nm) reageren met meer dizuurstof. De ozonlaag blokkeert ook het grootste deel, maar niet
helemaal, van de zonnebrandproducerende UV-B-band (280–315 nm), die in golflengten ligt die langer zijn dan UV-C. De UV-band die het
dichtst bij zichtbaar licht ligt, UV-A (315–400 nm), wordt nauwelijks beïnvloed door ozon en het grootste deel ervan bereikt de grond. UV-A
veroorzaakt niet in de eerste plaats een roodheid van de huid, maar er zijn aanwijzingen dat het op de lange termijn huidbeschadiging veroorzaakt. |
| |
UV-C, dat zeer schadelijk is voor alle levende wezens, wordt op ongeveer 35 kilometer hoogte volledig afgeschermd door een combinatie van zuurstof (< 200 nm) en ozon (> ongeveer 200 nm). UV-B-straling kan schadelijk zijn voor de huid en is de belangrijkste oorzaak van zonnebrand, Overmatige blootstelling kan ook staar, onderdrukking van het immuunsysteem en genetische schade veroorzaken, wat kan leiden tot problemen zoals huidkanker. De ozonlaag (die absorbeert van ongeveer 200 nm tot 310 nm met een maximale absorptie bij ongeveer 250 nm) is zeer
effectief in het tegenhouden van UV-B; voor straling met een golflengte van 290 nm is de intensiteit aan de bovenkant van de atmosfeer 350 miljoen keer sterker dan aan het aardoppervlak. Een deel van de UV-B bereikt echter, vooral bij de langste golflengten, het oppervlak en is belangrijk voor de productie van vitamine D door de huid bij zoogdieren. |
| |
| Ozon is transparant voor de meeste UV-A-straling, dus de meeste van deze UV-straling met langere golflengte bereikt het oppervlak en vormt het grootste deel van de UV-straling die de aarde bereikt. Dit type UV-straling is aanzienlijk minder schadelijk voor het DNA, hoewel het nog steeds potentieel fysieke schade, vroegtijdige veroudering van de huid, indirecte genetische schade en huidkanker kan veroorzaken. |
| |
| Verspreiding in de stratosfeer |
| |
| De dikte van de ozonlaag varieert wereldwijd en is over het algemeen dunner nabij de evenaar en dikker nabij de polen. De dikte verwijst naar de hoeveelheid ozon in een kolom boven een bepaald gebied en varieert van seizoen tot seizoen. De redenen voor deze variaties zijn te wijten aan atmosferische circulatiepatronen en zonne-intensiteit. |
| |
Het merendeel van de ozon wordt boven de tropen geproduceerd en door stratosferische windpatronen naar de polen getransporteerd. Op het noordelijk halfrond maken deze patronen, bekend als de Brewer-Dobson-circulatie, de ozonlaag het dikst in de lente en het dunst in de herfst. Wanneer ozon wordt geproduceerd door UV-straling van de zon in de tropen, gebeurt dit door circulatie die ozonarme lucht uit de troposfeer naar
de stratosfeer tilt, waar de zon zuurstofmoleculen fotolyseert en in ozon verandert. Vervolgens wordt de ozonrijke lucht naar hogere breedtegraden getransporteerd en naar de lagere lagen van de atmosfeer getransporteerd. |
| |
Uit onderzoek is gebleken dat de ozonniveaus in de Verenigde Staten het hoogst zijn in de lentemaanden april en mei en het laagst in oktober.
Terwijl de totale hoeveelheid ozon toeneemt als zich van de tropen naar hogere breedtegraden verplaatst, zijn de concentraties groter op hoge noordelijke breedtegraden dan op hoge zuidelijke breedtegraden, waarbij de ozonkolommen in de lente op hoge noordelijke breedtegraden af en
toe de 600 DU overschrijden en gemiddeld 450 DU vormen, terwijl 400 DU een grote hoeveelheid ozon vormt. gebruikelijke maximum in Antarctica vóór de antropogene aantasting van de ozonlaag. Dit verschil ontstond op natuurlijke wijze vanwege de zwakkere polaire vortex en de sterkere Brewer-Dobson-circulatie op het noordelijk halfrond als gevolg van de grote bergketens van dat halfrond en de grotere contrasten tussen land- en oceaantemperaturen. Het verschil tussen de hoge noordelijke en zuidelijke breedtegraden is sinds de jaren zeventig groter geworden als gevolg van het fenomeen ozongat. De grootste hoeveelheden ozon worden aangetroffen boven het Noordpoolgebied tijdens de lentemaanden maart en april, maar Antarctica heeft de laagste hoeveelheden ozon tijdens de zomermaanden september en oktober. |
| |
| Aantasting van de ozonlaag |
| |
| De ozonlaag kan worden aangetast door vrije radicalenkatalysatoren, waaronder stikstofmonoxide (NO), lachgas (N2O), hydroxyl (OH), atomair chloor (Cl) en atomair broom (Br). Hoewel er voor al deze soorten natuurlijke bronnen bestaan, zijn de concentraties chloor en broom de afgelopen decennia aanzienlijk gestegen als gevolg van de uitstoot van grote hoeveelheden door de mens gemaakte organohalogeenverbindingen, vooral chloorfluorkoolwaterstoffen (CFK's) en broomfluorkoolwaterstoffen. Deze zeer stabiele verbindingen zijn in staat de opkomst naar de stratosfeer te overleven, waar Cl- en Br-radicalen vrijkomen door de werking van ultraviolet licht. Elke radicaal is dan vrij om een kettingreactie te initiëren en te katalyseren die in staat is meer dan 100.000 ozonmoleculen af te breken. In 2009 was lachgas de grootste ozonafbrekende stof (ODS) die door menselijke activiteiten werd uitgestoten. |
| |
 |
| Brewer-Dobson-circulatie in de ozonlaag |
|
|
 |
| NASA-projecties van ozonconcentraties in de stratosfeer als chloorfluorkoolwaterstoffen niet waren verboden |
|
| |
De afbraak van ozon in de stratosfeer resulteert in een verminderde absorptie van ultraviolette straling. Bijgevolg kan niet-geabsorbeerde en gevaarlijke ultraviolette straling het aardoppervlak met een hogere intensiteit bereiken. Het ozonniveau is sinds eind jaren zeventig wereldwijd met gemiddeld ongeveer 4 procent gedaald. Voor ongeveer 5 procent van het aardoppervlak, rond de noord- en zuidpool, zijn veel grotere seizoensdalingen waargenomen, die worden beschreven als ozongaten. Ozongaten zijn eigenlijk plekken in de ozonlaag waarin de ozon dunner is.
De dunste delen van de ozon bevinden zich op de poolpunten van de aardas. De ontdekking van de jaarlijkse afbraak van de ozonlaag boven Antarctica werd voor het eerst aangekondigd door Joe Farman, Brian Gardiner en Jonathan Shanklin, in een artikel dat op 16 mei 1985 in Nature verscheen. |
| |
| Er is een wetenschappelijk artikel geschreven door Sheldon Ungar waarin de auteur onderzoekt en bestudeert hoe informatie over de afbraak van de ozonlaag, klimaatverandering en diverse aanverwante onderwerpen wordt verkregen. De ozonzaak werd naar het publiek gecommuniceerd met gemakkelijk te begrijpen overbruggingsmetaforen afgeleid van de populaire cultuur en gerelateerd aan onmiddellijke risico's met alledaagse relevantie. De specifieke metaforen die in de discussie werden gebruikt zoals ozonschild en ozongat bleken behoorlijk nuttig en vergeleken met de mondiale klimaatverandering werd de ozonzaak veel meer gezien als een hot issue en een dreigend risico. Het publiek was voorzichtiger over de aantasting van de ozonlaag en de risico's op huidkanker. Slechte ozon kan nadelige gezondheidsrisico's en ademhalingsmoeilijkheden veroorzaken en het is bewezen dat het luchtwegaandoeningen zoals astma, COPD en emfyseem verergert. Dat is de reden dat veel landen regelgeving hebben ingevoerd om het goede ozon te verbeteren en de toename van slechte ozon in stedelijke of woongebieden te voorkomen. |
| |
In 1978 voerden de Verenigde Staten, Canada en Noorwegen een verbod in op CFK-houdende spuitbussen die de ozonlaag beschadigen.
De Europese Gemeenschap verwierp een soortgelijk voorstel om hetzelfde te doen. In de VS werden chloorfluorkoolwaterstoffen nog steeds
gebruikt in andere toepassingen, zoals koeling en industriële reiniging, tot na de ontdekking van het ozongat in Antarctica in 1985.
Na onderhandelingen over een internationaal verdrag (het Montreal Protocol) werd de CFK-productie beperkt tot 1986. niveaus met toezeggingen voor reducties op lange termijn. Hierdoor werd een geleidelijke invoering van tien jaar voor de ontwikkelingslanden mogelijk. Sindsdien is het verdrag gewijzigd om de productie van CFK's na 1995 in de ontwikkelde landen en later in de ontwikkelingslanden te verbieden. Vandaag hebben alle 197 landen ter wereld het verdrag ondertekend. Vanaf 1 januari 1996 waren in ontwikkelde landen zoals de VS alleen gerecycleerde en opgeslagen
CFK's beschikbaar voor gebruik. Deze uitfasering van de productie was mogelijk dankzij de inspanningen om ervoor te zorgen dat er vervangende chemicaliën en technologieën zouden komen voor alle ODS-toepassingen. |
| |
Op 2 augustus 2003 kondigden wetenschappers aan dat de mondiale aantasting van de ozonlaag mogelijk zou vertragen als gevolg van de internationale regulering van ozonafbrekende stoffen. In een studie georganiseerd door de American Geophysical Union bevestigden drie satellieten en drie grondstations dat de afbraak van de ozonlaag in de bovenste atmosfeer de afgelopen tien jaar aanzienlijk is afgenomen.
Er kan worden verwacht dat enige afbraak zal voortduren vanwege de ODS die worden gebruikt door landen die deze niet hebben verboden, en vanwege de gassen die zich al in de stratosfeer bevinden. Sommige SDG’s, waaronder CFK’s, hebben een zeer lange levensduur in de atmosfeer, variërend van 50 tot meer dan 100 jaar.
Er wordt geschat dat de ozonlaag zich tegen het midden van de 21e eeuw zal herstellen tot het niveau van 1980. In 2016 werd een geleidelijke trend in de richting van genezing gerapporteerd. |
| |
Verbindingen die C-H-bindingen bevatten (zoals chloorfluorkoolwaterstoffen of HCFK's) zijn ontworpen om CFK's in bepaalde toepassingen te vervangen. Deze vervangende verbindingen zijn reactiever en zullen minder waarschijnlijk lang genoeg
in de atmosfeer overleven om de stratosfeer te bereiken, waar ze de ozonlaag zouden kunnen aantasten. |
|
|
 |
| De door satellieten gemeten niveaus van ozon in de atmosfeer vertonen duidelijke seizoensvariaties en lijken hun afname in de loop van de tijd te bevestigen. |
|
| |
| Hoewel ze minder schadelijk zijn dan CFK's, kunnen HCFK's een negatief effect hebben op de ozonlaag en daarom worden ze ook geleidelijk uitgefaseerd.[26] Deze worden op hun beurt vervangen door fluorkoolwaterstoffen (HFK's) en andere verbindingen die de ozon in de stratosfeer helemaal niet vernietigen. |
| |
| De resterende effecten van CFK's die zich in de atmosfeer ophopen, leiden tot een concentratiegradiënt tussen de atmosfeer en de oceaan. Deze organohalogeenverbinding kan oplossen in het oppervlaktewater van de oceaan en kan fungeren als een tijdsafhankelijke tracer. Deze tracer helpt wetenschappers de oceaancirculatie te bestuderen door biologische, fysische en chemische routes te volgen. |
| |
|
|
|
|
|
|