|
|
|
| Het dauwpunt is de temperatuur waarbij de lucht met waterdamp verzadigd is, zodat er wolkenvorming of dauwvorming optreedt zodra de temperatuur bKoude lucht kan minder waterdamp bevatten dan warme lucht en raakt bij voldoende isobare afkoeling verzadigd met waterdamp, de relatieve luchtvochtigheid wordt 100% en de waterdamp kan gaan condenseren. In de buitenlucht kan dit gebeuren in de vorm van dauw. Als het dauwpunt onder het vriespunt ligt is dit in de vorm van rijp en wordt gesproken van de rijptemperatuur. Hoe hoger de luchtvochtigheid, hoe dichter het dauwpunt ligt bij de temperatuur van de lucht. Bij een hogere luchtvochtigheid is de lucht al bijna verzadigd en hoeft deze nog maar weinig te worden afgekoeld om te condenseren. |
|
|
 |
| Spinnenweb met dauw |
|
|
 |
| Hygrometer op Mount Kinabalu |
|
| |
| Bij een relatieve luchtvochtigheid van 100% is het dauwpunt dan ook gelijk aan de luchttemperatuur. Het dauwpunt kan worden bepaald aan de hand van het verschil tussen de natteboltemperatuur en de drogeboltemperatuur. |
| |
| Definitie en principe |
| |
Het dauwpunt is een thermodynamisch gegeven dat de vochtigheid in een gas karakteriseert. Het dauwpunt van lucht is de temperatuur waarbij
de partiële druk van waterdamp gelijk is aan de verzadigde dampdruk. Het is dus de temperatuur waartoe een luchtvolume moet worden
afgekoeld,
bij constante druk en absolute vochtigheid, voordat het verzadigd raakt. |
| |
| Lucht bevat altijd een bepaald aandeel waterdamp. De partiële druk die door deze damp wordt uitgeoefend is kleiner dan of gelijk aan een maximale waarde die afhankelijk is van de omgevingstemperatuur1. Als vochtige lucht geleidelijk wordt afgekoeld bij constante druk, verandert de waterdampdruk niet, maar neemt de maximale waarde af totdat de twee gelijk worden. De dauwpunttemperatuur komt overeen met de verzadiging van de lucht en elke daaropvolgende afkoeling leidt tot het verschijnen van water in de vloeibare fase1. Het is het fenomeen condensatie, dat optreedt wanneer het dauwpunt wordt bereikt en er kiemplaatsen beschikbaar zijn, die in de meteorologie wolken, mist en dauw veroorzaken. Condensatie bereikt op dezelfde manier de muren van gebouwen. Dit fenomeen is het meetprincipe dat wordt geïmplementeerd in condensatiehygrometers, ook wel dauwpunthygrometers genoemd. |
| |
Wanneer de temperatuur onder het vriespunt ligt, kan de lucht verzadigd raken ten opzichte van water en resulteren in onderkoelde druppels,
of verzadigd raken ten opzichte van ijs en resulteren in rijm. In dit tweede geval wordt de verzadigingstemperatuur het ijsvormingspunt genoemd.
Dit laatste is bij deze temperaturen warmer dan het dauwpunt omdat de verzadigingsdampdruk ten opzichte van ijs lager is dan ten opzichte van vloeibaar water. Dit leidt ertoe dat de waterdamp onder het condensatiepunt vaker in vaste vorm dan in vloeibare vorm wordt afgezet. |
| |
| Relatie met menselijk comfort |
| |
Wanneer de luchttemperatuur hoog is, gebruikt het menselijk lichaam de verdamping van transpiratievocht om af te koelen, waarbij het verkoelende effect direct verband houdt met hoe snel het transpiratievocht verdampt. De snelheid waarmee transpiratie kan verdampen, hangt af van hoeveel vocht er in de lucht zit en hoeveel vocht de lucht kan vasthouden. Als de lucht al verzadigd is met vocht, zal transpiratie niet verdampen.
De thermoregulatie van het lichaam zal transpiratie produceren in een poging om het lichaam op zijn normale temperatuur te houden, zelfs als de snelheid waarmee het zweet produceert de verdampingssnelheid overschrijdt, zodat men op vochtige dagen bedekt kan raken met zweet, zelfs zonder extra lichaamswarmte te genereren zoals zoals door te sporten. |
| |
| Naarmate de lucht rondom het lichaam wordt verwarmd door lichaamswarmte, zal deze stijgen en worden vervangen door andere lucht. Als lucht door een natuurlijk briesje of een ventilator van het lichaam wordt afgevoerd, zal het zweet sneller verdampen, waardoor transpiratie het lichaam effectiever afkoelt en het comfort toeneemt. Het comfort neemt daarentegen af naarmate de onverdampte transpiratie toeneemt. |
| |
| Een nattebolthermometer maakt ook gebruik van verdampingskoeling, dus het is een goede maatstaf voor het evalueren van het comfortniveau |
| |
Ongemak bestaat ook als het dauwpunt erg laag is onder de -5 °C. De drogere lucht kan ervoor zorgen dat de huid barst en gemakkelijker
geïrriteerd raakt. Het zal ook de luchtwegen uitdrogen. De Amerikaanse Occupational Safety and Health Administration beveelt aan dat de
binnenlucht op een temperatuur van 20–24,5 °C wordt gehouden met een relatieve vochtigheid van 20–60%, wat overeenkomt met een
dauwpunt van ongeveer 4,0 tot 16,5 °C volgens onderstaande eenvoudige regelberekening). |
| |
| Lagere dauwpunten, minder dan 10 °C, correleren met lagere omgevingstemperaturen en zorgen ervoor dat het lichaam minder koeling nodig heeft. Alleen bij een extreem lage relatieve luchtvochtigheid kan een lager dauwpunt gepaard gaan met een hoge temperatuur, waardoor relatief effectieve koeling mogelijk is. |
| |
Mensen die in tropische en subtropische klimaten wonen, acclimatiseren enigszins aan hogere dauwpunten. Zo kan een inwoner van bijvoorbeeld Singapore of Miami een hogere drempel voor ongemak hebben dan een inwoner van een gematigd klimaat zoals Londen of Chicago. Mensen die gewend zijn aan een gematigd klimaat beginnen zich vaak ongemakkelijk te voelen als het dauwpunt boven de 15 °C komt, terwijl anderen dauwpunten tot 18 °C comfortabel vinden. De meeste inwoners van gematigde streken zullen dauwpunten boven de 21 °C beklemmend en
tropisch vinden, terwijl inwoners van warme en vochtige gebieden dit misschien niet ongemakkelijk vinden. Thermisch comfort hangt niet alleen
af van fysieke omgevingsfactoren, maar ook van psychologische factoren. |
| |
| Dauwpunt |
Menselijke beleving |
Relatieve luchtvochtigheid
bij 32 °C |
| Hoger dan 26 °C |
Ernstig hoog, zelfs dodelijk voor mensen met astma gerelateerde ziekten |
71% en hoger |
| 24–26 °C |
Zeer ongemakkelijk, tamelijk benauwend |
63–70% |
| 21–24 °C |
Erg vochtig, heel ongemakkelijk |
53–62% |
| 18–21 °C |
Enigszins ongemakkelijk, voor de meeste mensen is de luchtvochtigheid aan de hoge kant |
44–52% |
| 16–18 °C |
OK voor de meeste mensen, maar men merkt al dat de luchtvochtigheid aan de hoge kant is |
39–43% |
| 13–16 °C |
Comfortabel |
31–38% |
| 10–12 °C |
Zeer comfortabel |
26–30% |
| Lager dan 10 °C |
Een beetje droog voor sommige mensen |
Lager dan 26% |
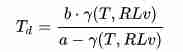
| Onderstaande formule berekent het dauwpunt met een nauwkeurigheid van ±0,4 °C, uitgaande van de parameters gegeven in de eerste externe link. Deze formule is geldig voor: |
| |
| 0 °C < T < 100 °C |
| 1% < RLv < 100% |
| 0 °C < Td < 50 °C |
| |
| waarbij: |
| T = temperatuur in graden Celsius |
| RLv = relatieve luchtvochtigheid (%) |
| Td = te berekenen dauwpuntstemperatuur |
| |
| De formule is: |
 |
| |
| waarbij |
 |
| |
| a = 17,27 |
| b = 237,7 °C |
| ln is de natuurlijke logaritme. |
|
|
 |
| Dauwpunt uitgezet tegen de temperatuur bij verschillende relatieve luchtvochtigheid |
|
Dauwpuntdaling is het verschil tussen de temperatuur en het dauwpunt (T-Tr) bij een bepaald drukniveau in de atmosfeer van de aarde. Hoe kleiner deze waarde, hoe groter de relatieve vochtigheid op die hoogte en hoe waarschijnlijker de aanwezigheid van wolken. Zo wordt een depressie van meer dan 5°C doorgaans geassocieerd met de afwezigheid van een wolkenlaag en is een waarde dichtbij 0°C synoniem met volledige dekking.
De variatie in de troposfeer van de dauwpuntdaling, geanalyseerd op een thermodynamisch diagram zoals een tephigram, maakt het mogelijk
om de hoogte, dikte en omvang van de wolkenlagen over een gebied te kennen. |
| |
Een ander nut is om het condensatieniveau door opstijging (NCA) en de basis van convectieve wolken tijdens de opwarming overdag van een onstabiele luchtmassa te kunnen schatten door de verlaging van het dauwpunt op de grond te kennen. Omgekeerd geeft een grote waarde van
deze variabele op het gemiddelde niveau van de tropopauze aan dat de lucht daar droog is. Als het in een convectieve wolk wordt geïnjecteerd,
zoals een cumulonimbus, is het dichter dan de lucht in laatstgenoemde en begint het te dalen, waarbij een neerwaartse windstoot ontstaat. |
| |
| Ten slotte is de dauwpuntdaling, gemeten nabij de grond, een indicator van de vochtigheid of droogte die in de land- en bosbouw wordt gebruikt om verschillende indices te berekenen, zoals de bosweerindex. |
| |
| |
| Op een weerkaart kan bij elk weerstation de dauwpuntwaarde worden uitgezet. Het is ook mogelijk om de gelijke waarden van dauwpunten met elkaar te verbinden door een lijn die de naam isodrosotherme8 draagt. Hierdoor is het mogelijk om natte en droge gebieden op de kaart te identificeren, wat bijvoorbeeld van belang is voor de ontwikkeling van onweersbuien. In bepaalde regio's is de grens tussen deze zones zeer scherp en kan er sprake zijn van een dauwpuntfront dat eigenschappen heeft die vergelijkbaar zijn met een koufront |
| |
|
|
|
|
|
|